Resolving the (Debate About) Nozzle Shocks in Tidal Disruption Events

Z. L. Andalman, E. Quataert, E. R. Coughlin, & C. J. Nixon

preprint • 2026


Abstract

When a star passes within the Roche limit of a supermassive black hole (SMBH), it is pulled apart by the BH's tidal field in a tidal disruption event (TDE). The resulting flare is powered by the circularization and accretion of bound stellar debris, which initially returns to the BH on eccentric orbits in a thin debris stream. The returning fluid elements follow inclined orbits that converge near pericenter, resulting in extreme vertical compression to scales 1e-4 Rsol and the formation of a nozzle shock. Dissipation at the nozzle shock may affect circularization by altering the properties of the debris stream, but its role is the subject of ongoing debate. We develop an idealized model for the debris stream evolution combining 3D smoothed-particle hydrodynamics simulations, the semi-analytic affine model, and 1D finite-volume hydrodynamic simulations. Because our model is computationally cheap, we can unambiguously resolve the nozzle shock, use a realistic equation of state, and follow the debris stream evolution at many different times. Near peak fallback, Hydrogen recombination and molecular Hydrogen formation broaden the stream by a factor ~5, enhancing dissipation at the nozzle. However, the dissipation is still insufficient to directly circularize the debris by in-plane pressure gradients. Instead, the thicker stream substantially increases the likelihood that the stream self-intersects on the second orbit, despite relativistic nodal precession. The stream properties at self-intersection are sensitive to dissipation at the nozzle and the timing of focal points where the ballistic trajectories of the debris converge. Our results clarify the nozzle shock's role in circularization in TDEs, providing a foundation for more realistic circularization and emission models.


Data description

Python code for generating EOS tables and their inversions using the partition function from Tomida+2013. Code in gen.py, example usage in gen.ipynb.



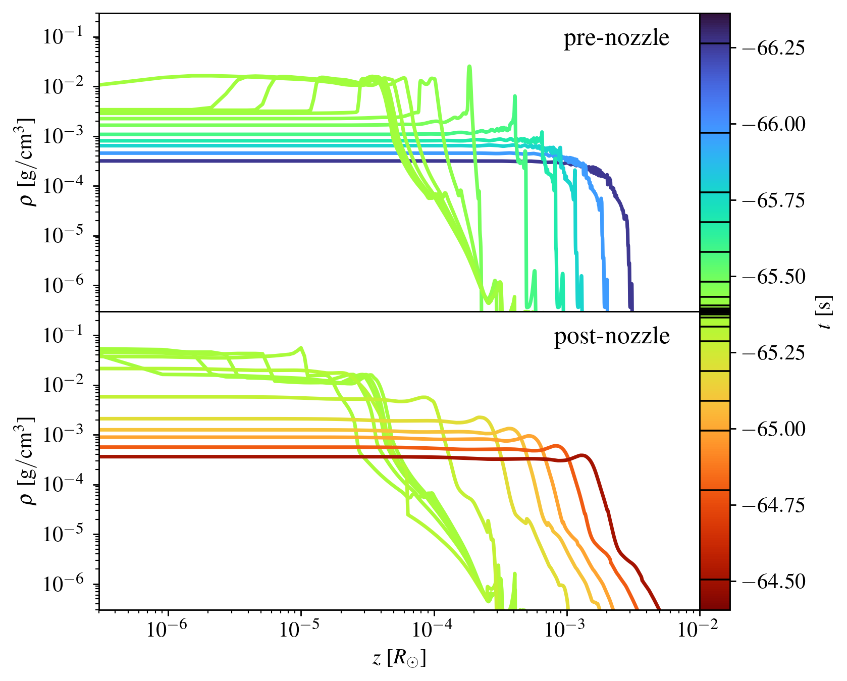
figure for Andalman+2026a
The density as a function of vertical height in the debris stream, from our 1D hydrodynamic simulations in Athena++. We show 12 profiles before (top panel) and after (bottom panel) the nozzle. We indicate the time of each profile by its color in the color bar. The snapshots and the color bar are concentrated near the nozzle, where the evolution is most rapid. Before the nozzle, a shock forms and propagates towards the center of the stream slice, where it collides with the shock from the other side of the xy-plane. The resulting dissipation launches outward-propagating shocks that rapidly reach the surface of the stream slice and break out. At the nozzle, the vertical height of the stream is 1e-4 Rsol.